

第一作者:陈楚琪
通讯作者:陶沙,王道阳
发表期刊:Journal of Personality
期刊 5-Year Impact Factor: 4.9; SSCI, Q1、中科院一区
通讯单位:色情av影片
论文DOI://doi.org/10.1111/jopy.12995
研究简介
探究社会文化倾向对青少年人格发展的影响是一个重要的理论和实践问题。在中国的集体主义文化背景下,青少年感觉寻求与集体主义观的发展轨迹及其相互作用在很大程度上是未知的。本研究考察了感觉寻求和集体主义观联合发展模式的异质性及其在不同潜在轨迹类别中的相互作用。本研究在中国文化背景下,采用三年纵向追踪设计,使联合增长混合模型(PPGMM)确定集体主义观和感觉寻求的共同发展轨迹;同时采用网络分析模型,对由PPGMM确定的各个类别的三个时间点分别构建网络,揭示集体主义观和感觉寻求之间的相互作用。
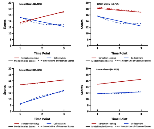
联合增长混合模型结果(图1)表明,中国青少年感觉寻求和集体主义观存在四种不同的共同发展轨迹,分别是对立增长模式(10.48%)、双衰减模式(10.75%)、协同增长模式(14.52%)和稳定平衡模式(64.25%)。大多数青少年感觉寻求和集体主义观的发展轨迹相对稳定,他们在渴望新奇体验和社会规范之间保持平衡。对立增长模式的青少年感觉寻求增长最快,集体主义观则相应下降。这种模式暗示着感觉寻求与集体主义观之间的潜在斗争。协同增长模式下,青少年集体主义观快速增长,感觉寻求增长相对较缓。这可能意味着青少年逐步意识到来自社会的期望,以及寻求刺激行为的潜在后果。此外,社会经济地位影响感觉寻求和集体主义观的共同发展轨迹。来自较高社会经济背景的青少年,开始时表现出最高的感觉寻求观和集体主义水平,之后随着时间逐渐下降。总的来说,感觉寻求和集体主义观之间的紧张拮抗和平衡存在于不同的群体中,尽管两者的相对强度存在差异。
图1 青少年感觉寻求和集体主义观的联合发展轨迹
网络分析结果(图2)表明,在早期阶段,感觉寻求内部存在高度互联性,而集体主义观内部节点之间缺乏联系。这表明青少年最初难以把握集体主义观的对自身的意义。在逐渐内化集体主义价值观的过程中,他们逐渐在建立起感觉寻求和集体主义观之间的联系。并且不同联合发展模式下,青少年感觉寻求和集体主义观形成联系的时间和强度也存在差异。如较高社会经济地位背景的青少年比同龄人更早认识到感觉寻求和社会贡献之间的联系。此外,随着青少年的发展,不同类别的网络结构逐渐趋于相似。这种相似性可能源于中国独特的集体主义教育、文化和社会环境的累积影响。大多数中国青少年处在高度集体主义的教育环境中,这对他们的发展有深刻的影响。
图2 不同时间点四种类别的感觉寻求和集体主义观网络
本研究强调了个性与社会文化背景之间错综复杂的作用,采用动态发展视角对感觉寻求和集体主义的关系进行了深入剖析。这些发现证实了认知-情感人格系统理论,即个体的认知变化能够对人格特质产生影响。此外,研究发现社会经济地位是影响感觉寻求和集体主义观发展的重要因素。本研究有助于理解青少年发展的多样性,识别不同发展模式有助于实施更加个性化和精确化的教育干预。
作者简介
第一作者:
陈楚琪,色情av影片 2022级应用心理专业学位硕士研究生,以第一作者在Journal of Personality等SSCI期刊发表论文2篇。在校期间参与多个学术活动并进行了报告:2023年全国心理学学术会议、2023年中国心理学会发展心理专业委员会第十六届学术年会、2024年中国心理学会发展心理专业委员会第十七届学术年会。
通讯作者:
王道阳,色情av影片
心理学系教授、博士生导师,浙江省婴幼儿发展与托育哲学社会科学培育实验室执行主任,中国心理学会校园欺凌与暴力防治专委会委员、发展心理专委会秘书。主持国家社科重点项目等国家级科研项目4项,在心理学报等CSSCI/SSCI期刊发表论文50余篇,出版专著和教材10余部。